Home
Favorites
My Account
Menu
Common Core Sheets
Math
Orthographe
créer-un-examen
créer-un-test
créer une feuille
améliorer un paragraphe
connexion
x
Panneau des enseignants
>
My Account
Distance Learning Assignments
fr
Options
Math
>
Addition
Soustraction
Multiplication
Division
Algèbre
Angles
Aire & Périmètre
Equilibrage d'Equations
Boîtes A Moustaches
Mesure De La Capacité
Modèle De Conversion
Comptage
Nombres Décimaux
Division
Exo de Maths
Fiches Familles
Facteurs
Fractions
Grilles
Mesures
Argent
Multiplication
Problèmes à Plusieurs Etapes
Nombres négatifs
Ordre des opérations
Modèles & Machines de fonction
Pourcentage
Propriétés
Ratios
Arrondis
Figures
Statistiques
Soustraction
Etiquette
Température
Temps
Nombre et Placement de Virgule
Variables
Poids
Volume
Exo de Maths
Panneau des enseignants
>
My Account
Distance Learning Assignments
fr
Options
Languages
>
spanish
german
russian
italian
vietnamese
french
english
Don & Support du site
>
Patreon
Paypal
Otre Sujet
>
Comment utiliser Fiches d'exercices
Home
Fiches de mathématiques
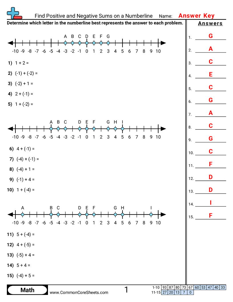
Fiches d'Exercices sur les Nombres Négatifs
Montrer la distance avec une droite numérique
Like
Publicité
Montrer la distance avec une droite numérique
Worksheet
Un à la fois
Cartes Flash
Apprentissage à distance
Créer une nouvelle feuille
Tags
phrase courte
visuel
droite numérique
addition
Standards
7ns1b
Related Worksheets
Publicité